InitializeBoundaryConditions[vd,sd,{{bc11,…},{bc21,…},…}]
initializes the system of boundary conditions beqni in accordance with variable data vd and solution data sd to generate a BoundaryConditionData object.
InitializeBoundaryConditions
InitializeBoundaryConditions[vd,sd,{{bc11,…},{bc21,…},…}]
initializes the system of boundary conditions beqni in accordance with variable data vd and solution data sd to generate a BoundaryConditionData object.
Details and Options
- The boundary conditions bcij can either be DirichletCondition, NeumannValue or PeriodicBoundaryCondition.
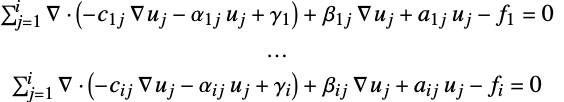
- The i
set of boundary conditions bcij is associated with the i
equation from: - The boundary conditions can be functions of space and time.
- Variable data vd and solution data sd are corresponding lists of variables and values. Templates for vd and sd may be generated using NDSolve`VariableData and NDSolve`SolutionData, and components may be set using NDSolve`SetSolutionDataComponent.
- InitializeBoundaryConditions verifies and optimizes the boundary conditions in accordance with variable data vd and solution data sd.
- The "Space" component of vd and sd should be set to the spatial variables and the spatial mesh represented as a NumericalRegion object, respectively.
- The "DependentVariables" component of vd should be set to the list of unknown function names without arguments.
- For time-dependent problems, the "Time" component of vd and sd should be set to the temporal variable and the initial time, respectively.
- For parametric problems, the "Parameters" component of vd and sd should be set to the parametric variables and the initial parametric values, respectively.
- The following options can be given:
-
"BoundaryTolerance" Automatic tolerance for boundary condition predicate "ScaleFactor" Automatic scaling factor for transient handling of Dirichlet boundary conditions - Setting the option from NDSolve and related functions is explained in NDSolve Finite Element Options.
Examples
open all close allBasic Examples (1)
Scope (2)
Options (1)
"BoundaryTolerance" (1)
Initialize boundary conditions that are inconsistent:
During the boundary condition discretization stage, a warning will be issued if DirichletCondition boundary conditions are inconsistent:
The default "BoundaryTolerance" is Automatic and does not warn about inconsistent boundary conditions but will eliminate duplicate boundary conditions that may come up during the inconsistent boundary condition analysis. Setting "BoundaryTolerance" to Infinity will not perform any inconsistency check.
Tech Notes
Related Guides
Text
Wolfram Research (2014), InitializeBoundaryConditions, Wolfram Language function, https://reference.wolfram.com/language/FEMDocumentation/ref/InitializeBoundaryConditions.html (updated 2020).
CMS
Wolfram Language. 2014. "InitializeBoundaryConditions." Wolfram Language & System Documentation Center. Wolfram Research. Last Modified 2020. https://reference.wolfram.com/language/FEMDocumentation/ref/InitializeBoundaryConditions.html.
APA
Wolfram Language. (2014). InitializeBoundaryConditions. Wolfram Language & System Documentation Center. Retrieved from https://reference.wolfram.com/language/FEMDocumentation/ref/InitializeBoundaryConditions.html
BibTeX
@misc{reference.wolfram_2025_initializeboundaryconditions, author="Wolfram Research", title="{InitializeBoundaryConditions}", year="2020", howpublished="\url{https://reference.wolfram.com/language/FEMDocumentation/ref/InitializeBoundaryConditions.html}", note=[Accessed: 01-February-2026]}
BibLaTeX
@online{reference.wolfram_2025_initializeboundaryconditions, organization={Wolfram Research}, title={InitializeBoundaryConditions}, year={2020}, url={https://reference.wolfram.com/language/FEMDocumentation/ref/InitializeBoundaryConditions.html}, note=[Accessed: 01-February-2026]}