Partial Differential Equations
This notebook is about finding analytical solutions of partial differential equations (PDEs). If you are interested in numeric solutions of PDEs, then the numeric PDEModels Overview is a good starting point.
Overview of PDEs
A partial differential equation (PDE) is a relationship between an unknown function
and its derivatives with respect to the variables
.
PDEs occur naturally in applications; they model the rate of change of a physical quantity with respect to both space variables and time variables. At this stage of development, DSolve typically only works with PDEs having two independent variables.
The order of a PDE is the order of the highest derivative that occurs in it. The previous equation is a first-order PDE.
A function
is a solution to a given PDE if
and its derivatives satisfy the equation.
Here are some well-known examples of PDEs (clicking a link in the table will bring up the relevant examples). DSolve gives symbolic solutions to equations of all these types, with certain restrictions, particularly for second-order PDEs.
name of equation | general form | classification |
| transport equation | linear first-order PDE | |
| Burgers' equation | quasilinear first-order PDE | |
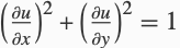
| eikonal equation | nonlinear first-order PDE | |
| Laplace's equation | elliptic linear second-order PDE | |
| wave equation | hyperbolic linear second-order PDE | |
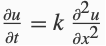
| heat equation | parabolic linear second-order PDE |
Recall that the general solutions to PDEs involve arbitrary functions rather than arbitrary constants. The reason for this can be seen from the following example.
If there are several arbitrary functions in the solution, they are labeled as C[1], C[2], and so on.
First-Order PDEs
Linear and Quasi-Linear PDEs
First-order PDEs are usually classified as linear, quasi-linear, or nonlinear. The first two types are discussed in this tutorial.
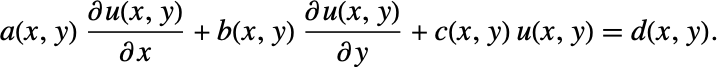
A first-order PDE for an unknown function
is said to be linear if it can be expressed in the form
The PDE is said to be quasilinear if it can be expressed in the form
A PDE which is neither linear nor quasi-linear is said to be nonlinear.
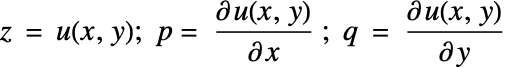
For convenience, the symbols
,
, and
are used throughout this tutorial to denote the unknown function and its partial derivatives.
The equation is linear because the left-hand side is a linear polynomial in
,
, and
. Since there is no term free of
,
, or
, the PDE is also homogeneous.
The transport equation is a good example of a linear first-order homogeneous PDE with constant coefficients.
Note that the solution to the transport equation is constant on any straight line of the form
in the plane. These straight lines are called the base characteristic curves. The equation
defines a plane in three dimensions. The intersections of these planes with the solution surface are called characteristic curves. Since the characteristic curves are solutions to a system of ODEs, the problem of solving the PDE is reduced to that of solving a system of ODEs for
,
, and
, where
is a parameter along the characteristic curves. These ODEs are called characteristic ODEs.
The solution to an inhomogeneous PDE has two components: the general solution to the homogeneous PDE and a particular solution to the inhomogeneous PDE.
Now consider some examples of first-order quasi-linear PDEs.
The term
makes this equation quasi-linear.
A practical consequence of quasi-linearity is the appearance of shocks and steepening and breaking of solutions. Thus, although the procedures for finding general solutions to linear and quasi-linear PDEs are quite similar, there are sharp differences in the nature of the solutions.
Nonlinear PDEs
The general first-order nonlinear PDE for an unknown function
is given by
Here
is a function of
,
, and
.
The term "nonlinear" refers to the fact that
is a nonlinear function of
and
. For instance, the eikonal equation involves a quadratic expression in
and
.
The general solution to a first-order linear or quasi-linear PDE involves an arbitrary function. If the PDE is nonlinear, a very useful solution is given by the complete integral. This is a function of u(x,y,C[1],C[2]), where C[1] and C[2] are independent parameters and u satisfies the PDE for all values of (C[1],C[2]) in an open subset of the plane. The complete integral can be used to find a general solution for the PDE as well as to solve initial value problems for it.
If the values of C[1] and C[2] are fixed, the previous solution represents a plane in three dimensions. Thus, the complete integral for this PDE is a two-parameter family of planes, each of which is a solution surface for the equation.
Next, the envelope of a one-parameter family of surfaces is a surface that touches each member of the family. If the complete integral is restricted to a one-parameter family of planes, for example by setting C[2]=5C[1], the envelope of this family is also a solution to the PDE called a general integral.
Like nonlinear ODEs, some nonlinear PDEs also have a singular solution (or singular integral) that is obtained by constructing the envelope of the entire two-parameter family of surfaces represented by the complete integral.
Thus, the singular integral for this PDE is a plane parallel to the
-
plane.
To summarize, the complete integral for a nonlinear PDE includes a rich variety of solutions.
- Every member of the two-parameter family gives a particular solution to the PDE.
- The envelope of any one-parameter family is a solution called a general integral of the PDE.
- The envelope of the entire two-parameter family is a solution called the singular integral of the PDE.
- The complete integral is not unique, but any other complete integral for the PDE can be obtained from it by the process of envelope formation.
These remarkable properties account for the usefulness of the complete integral in geometrical optics, dynamics, and other areas of application. Following are various examples of nonlinear PDEs that show different kinds of complete integrals.
This complete integral is a two-parameter family of planes. This type of solution arises whenever the PDE depends explicitly only on
and
, but not on
,
, or
. For a fixed value of
, it is a line in the plane at a distance of C[1] units from the origin that makes an angle of ArcCos[C[2]] with the
axis. This is the familiar picture of wave-front propagation from geometrical optics.
Often a coordinate transformation can be used to cast a given PDE into one of the previous types. The expression for the complete integral will then have the same form as for the standard types. Here are some examples of nonlinear PDEs for which DSolve applies a coordinate transformation to find the complete integral.
It should be noted that there is no general practical algorithm for finding complete integrals, and that the answers are often available only in implicit form.
Second-Order PDEs
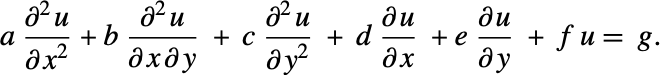
The general form of a linear second-order PDE is
Here
, and
,
,
,
,
,
, and
are functions of
and
only—they do not depend on
. If
, the equation is said to be homogeneous.
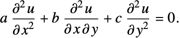
The first three terms containing the second derivatives are called the principal part of the PDE. They determine the nature of the general solution to the equation. In fact, the coefficients of the principal part can be used to classify the PDE as follows.
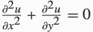
The PDE is said to be elliptic if
. The Laplace equation has
,
, and
and is therefore an elliptic PDE.
The PDE is said to be hyperbolic if
. The wave equation has
,
, and
and is therefore a hyperbolic PDE.
The PDE is said to be parabolic if
. The heat equation has
,
, and
and is therefore a parabolic PDE.
DSolve can find the general solution for a restricted type of homogeneous linear second-order PDEs; namely, equations of the form
Here
,
, and
are constants. Thus, DSolve assumes that the equation has constant coefficients and a vanishing non-principal part.
Following are some examples of the three basic types (elliptic, hyperbolic, and parabolic) and an explanation of their significance.
This general solution contains two arbitrary functions, C[1] and C[2]. The arguments of these functions,
and
, indicate that the solution is constant along the imaginary straight line
when C[2]0 and along
when C[1]0 . These straight lines are called characteristic curves of the PDE. In general, elliptic PDEs have imaginary characteristic curves.
The characteristic lines for the wave equation are
and
where
is an arbitrary constant. Hence the wave equation (or any hyperbolic PDE) has two families of real characteristic curves. If initial conditions are specified for the wave equation, the solution propagates along the characteristic lines. Also, any fixed pair of characteristic lines determine the null cone of an observer sitting at their intersection.
The equation has only one family of real characteristics, the lines
. In fact, any parabolic PDE has only a single family of real characteristics.
The heat equation is parabolic, but it is not considered here because it has a nonvanishing non-principal part, and the algorithm used by DSolve is not applicable in this case.