Rigid Body Solvers
Introduction
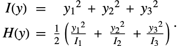
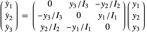
The equations of motion for a free rigid body whose center of mass is at the origin are given by the following Euler equations (see [MR99]).
Two quadratic first integrals of the system are:
The first constraint effectively confines the motion from
to a sphere. The second constraint represents the kinetic energy of the system and, in conjunction with the first invariant, effectively confines the motion to ellipsoids on the sphere.
Numerical experiments for various methods are given in [HLW02] and a variety of NDSolve methods will now be compared.
Manifold Generation and Utility Functions
Method Comparison
Various integration methods can be used to solve Euler's equations and they each have different associated costs and different dynamical properties.
Adams Multistep Method
Euler and Implicit Midpoint Methods
Orthogonal Projection Method
Projection Method
The method "Projection" takes a set of constraints and projects the solution onto a manifold at the end of each integration step.
Generally all the invariants of the problem should be used in the projection; otherwise the numerical solution may actually be qualitatively worse than the unprojected solution.
Projecting One Constraint
Projecting Multiple Constraints
"Splitting" Method
A splitting that yields an efficient explicit integration method was derived independently by McLachlan [M93] and Reich [R93].
The differential system is split into three components,
,
, and
, each of which is Hamiltonian and can be solved exactly.
The Hamiltonian systems are solved and recombined at each integration step as: