AroundReplace[expr,{s1Around[x1,δ1],s2Around[x2,δ2],…}]
propagates uncertainty in expr by replacing all occurrences of si by Around[xi,δi].
AroundReplace[expr,rules,n]
propagates uncertainty in expr using a series expansion to order n.
AroundReplace
AroundReplace[expr,{s1Around[x1,δ1],s2Around[x2,δ2],…}]
propagates uncertainty in expr by replacing all occurrences of si by Around[xi,δi].
AroundReplace[expr,rules,n]
propagates uncertainty in expr using a series expansion to order n.
Details
- In AroundReplace[expr,{s1->Around[xi,…],…}], each occurrence of a given si in expr is assumed to represent the same value, but different replacements Around[xi,…] are assumed to be uncorrelated.
- In AroundReplace[expr,rules], rules can contain scalar rules of the form sAround[…] for an uncorrelated variable s, or vector rules of the form {s,r,…}VectorAround[…] for correlated variables s,r,….
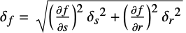
- In AroundReplace[f[s,r],rules], uncertainty propagation is based on the following formula:
- In AroundReplace[f[s,r],rules,n], uncertainty propagation involves derivatives up to order n.
- For n=1, the result of AroundReplace[f[s],sAround[x,δ],n] is centered at f[x], but for higher n orders the central value may depend on δ as well.
Examples
open all close allBasic Examples (2)
Perform an operation with Around objects:
Converting x into two uncorrelated variables makes the result have smaller uncertainty:
Specify an intermediate level of correlation with VectorAround:
By default, uncertainty propagation uses first-order expansions:
Properties & Relations (1)
AroundReplace[expr,rules] is not equivalent to ReplaceAll[expr,rules] in general:
They coincide if each replaced variable appears once in the original expression:
Related Guides
History
Text
Wolfram Research (2019), AroundReplace, Wolfram Language function, https://reference.wolfram.com/language/ref/AroundReplace.html.
CMS
Wolfram Language. 2019. "AroundReplace." Wolfram Language & System Documentation Center. Wolfram Research. https://reference.wolfram.com/language/ref/AroundReplace.html.
APA
Wolfram Language. (2019). AroundReplace. Wolfram Language & System Documentation Center. Retrieved from https://reference.wolfram.com/language/ref/AroundReplace.html
BibTeX
@misc{reference.wolfram_2025_aroundreplace, author="Wolfram Research", title="{AroundReplace}", year="2019", howpublished="\url{https://reference.wolfram.com/language/ref/AroundReplace.html}", note=[Accessed: 09-December-2025]}
BibLaTeX
@online{reference.wolfram_2025_aroundreplace, organization={Wolfram Research}, title={AroundReplace}, year={2019}, url={https://reference.wolfram.com/language/ref/AroundReplace.html}, note=[Accessed: 09-December-2025]}