LatticeReduce[{v1,v2,…}]
gives a reduced basis for the set of vectors vi.
LatticeReduce
LatticeReduce[{v1,v2,…}]
gives a reduced basis for the set of vectors vi.
Examples
open all close allApplications (3)
Starting with trivial integer linear relationships, LatticeReduce can produce more interesting ones:
Find integer linear relationships for
and
of the form
:
LatticeReduce preserves linear relationships, and the third row provides
,
, and
:
Find polynomial relationships
for
:
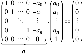
The trivial initial relationships:
Find linear relationships x0+x1 ArcTan[1]+x2 ArcTan[1/5]+x3 ArcTan[1/239]==0:
Properties & Relations (2)
LatticeReduce produces a new reduced basis for the same lattice:
The product of the norms will decrease:
The determinant or volume of the generator cell is preserved:
The lattice is generated by {v1,v2}, but also by {w1,w2} produced by LatticeReduce:
The original cell is pink, and the one produced by LatticeReduce is cyan:
Related Guides
Related Links
History
Introduced in 1988 (1.0)
Text
Wolfram Research (1988), LatticeReduce, Wolfram Language function, https://reference.wolfram.com/language/ref/LatticeReduce.html.
CMS
Wolfram Language. 1988. "LatticeReduce." Wolfram Language & System Documentation Center. Wolfram Research. https://reference.wolfram.com/language/ref/LatticeReduce.html.
APA
Wolfram Language. (1988). LatticeReduce. Wolfram Language & System Documentation Center. Retrieved from https://reference.wolfram.com/language/ref/LatticeReduce.html
BibTeX
@misc{reference.wolfram_2025_latticereduce, author="Wolfram Research", title="{LatticeReduce}", year="1988", howpublished="\url{https://reference.wolfram.com/language/ref/LatticeReduce.html}", note=[Accessed: 09-December-2025]}
BibLaTeX
@online{reference.wolfram_2025_latticereduce, organization={Wolfram Research}, title={LatticeReduce}, year={1988}, url={https://reference.wolfram.com/language/ref/LatticeReduce.html}, note=[Accessed: 09-December-2025]}