Introduction to Graph Drawing
| Graph Theory Notations | Selecting the Appropriate Graph Drawing Function |
| Input Formats | References |
| Graph Drawing Algorithms |
| GraphPlot | generate a plot of a graph |
| GraphPlot3D | generate a 3D plot of a graph |
| LayeredGraphPlot | generate a layered plot of a graph |
| TreePlot | generate a tree plot of a graph |
Spring Embedding
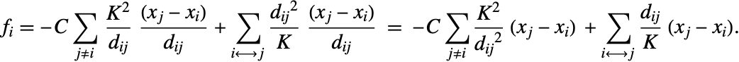
Spring-Electrical Embedding
High-Dimensional Embedding Algorithm
A Hierarchical Drawing Algorithm for Directed Graphs
1. Vertices of the DAG are first assigned a preliminary
ranking such that if there is an edge from
to
, then it is likely that
. This is to ensure that the final drawing has directed edges pointing mostly downward.
2. The
coordinates are generated so that if there is an edge from
to
and
, their
coordinates are as close as possible, but separated by a set minimum. This ensures that the final resulting drawing does not have many long edges. This process assigns the vertices into a finite number of layers. If an edge lies across a number of layers, virtual vertices are added.
3. A preliminary
ranking is assigned to each vertex to minimize the number of edge crossings.
4. The
coordinates are generated by minimizing
subject to the constraints that vertices on the same layer obey the
ranking generated in step 3 and are separated by a set minimum.
Algorithms for Drawing Trees
[1] Di Battista, G., P. Eades, R. Tamassia, and I. G. Tollis. Graph Drawing: Algorithms for the Visualization of Graphs. Prentice Hall, 1999.
[2] Fruchterman, T. M. J. and E. M. Reingold. "Graph Drawing by Force-Directed Placement." Software—Practice and Experience 21, no. 11 (1991): 1129–1164.
[3] Eades, P. "A Heuristic for Graph Drawing." Congressus Numerantium 42 (1984): 149–160.
[4] Quinn, N. and M. Breuer. "A Force Directed Component Placement Procedure for Printed Circuit Boards." IEEE Trans. on Circuits and Systems 26, no. 6 (1979): 377–388.
[5] Kamada, T. and S. Kawai. "An Algorithm for Drawing General Undirected Graphs." Information Processing Letters 31 (1989): 7–15.
[6] Harel, D. and Y. Koren. "Graph Drawing by High-Dimensional Embedding." In Proceedings of 10th Int. Symp. Graph Drawing (GD'02), 207–219, 2002.
[7] Walshaw, C. "A Multilevel Algorithm for Force-Directed Graph-Drawing." J. Graph Algorithms Appl. 7, no. 3 (2003): 253–285.
[8] Cuthill, E. and J. McKee. "Reducing the Bandwidth of Sparse Symmetric Matrices." In Proceedings, 24th National Conference of ACM, 157–172, 1969.
[9] Lim, A., B. Rodrigues, and F. Xiao. "A Centroid-Based Approach to Solve the Bandwidth Minimization Problem." In Proceedings of the 37th Annual Hawaii International Conference on System Sciences (HICSS'04), 30075.1, 2004.
[10] Barnard, S. T., A. Pothen, and H. D. Simon. "A Spectral Algorithm for Envelope Reduction of Sparse Matrices." Journal of Numerical Linear Algebra with Applications 2, no. 4 (1995): 317–334.
[11] Sloan, S. "A Fortran Program for Profile and Wavefront Reduction." International Journal for Numerical Methods in Engineering 28, no. 11 (1989): 2651–2679.
[12] Reid, J. K. and J. A. Scott. "Ordering Symmetric Sparse Matrices for Small Profile and Wavefront." International Journal for Numerical Methods in Engineering 45, no. 12 (1999): 1737–1755.
[13] George, J. A. "Computer Implementation of the Finite-Element Method." Report STAN CS-71-208, PhD Thesis, Department of Computer Science, Stanford University, Stanford, California, 1971.
[14] Sugiyama, K., S. Tagawa, and M. Toda. "Methods for Visual Understanding of Hierarchical Systems." IEEE Trans. Syst. Man, Cybern. 11, no. 2 (1981): 109–125.
[15] Gansner, E. R., E. Koutsofios, S. C. North, and K. P. Vo. "A Technique for Drawing Directed Graphs." IEEE Trans. Software Engineering 19, no. 3 (1993): 214–230.
[16] Quigley, A. "Large Scale Relational Information Visualization, Clustering, and Abstraction." PhD Thesis, Department of Computer Science and Software Engineering, University of Newcastle, Australia, 2001.
[17] Hu, Y. F. "Efficient, High-Quality Force-Directed Graph Drawing." The Mathematica Journal 10, no. 1 (2006): 37–71.