ReactionPDETerm[vars,a]
represents a reaction term
with reaction coefficient
and with model variables vars.
ReactionPDETerm[{u,{x1,…,xn}},a,pars]
uses model parameters pars.
ReactionPDETerm
ReactionPDETerm[vars,a]
represents a reaction term
with reaction coefficient
and with model variables vars.
ReactionPDETerm[{u,{x1,…,xn}},a,pars]
uses model parameters pars.
Details
- Reaction terms are used to model absorption or emission in a number of domains, such as biology, chemistry and physics.
- Reaction with a reaction coefficient
is the process of absorbing of the dependent variable
: - ReactionPDETerm returns differential operators term to be used as a part of partial differential equations:
- ReactionPDETerm can be used to model reaction equations with dependent variable
, independent variables
and time variable
. - Stationary model variables vars are vars={u[x1,…,xn],{x1,…,xn}}.
- Time-dependent model variables vars are vars={u[t,x1,…,xn],{x1,…,xn}} or vars={u[t,x1,…,xn],t,{x1,…,xn}}.
- The reaction term
in context with other PDE terms is given by: - The reaction coefficient
has the following form: -


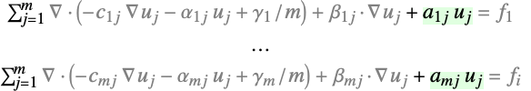
scalar a - For a system of PDEs with dependent variables {u1,…,um}, the reaction represents:
- The reaction term in context systems of PDE terms:
- The reaction coefficient
is a tensor of rank 2 of the form
where each submatrix
is a scalar that can specified in the same way as for a single dependent variable. - The reaction coefficient
can depend on time, space, parameters and the dependent variables. - The coefficient
does not affect the meaning of NeumannValue. - All quantities that do not explicitly depend on the independent variables given are taken to have zero partial derivative.
Examples
open all close allBasic Examples (4)
Scope (7)
Define a time-dependent reaction term:
Define a symbolic reaction term:
Define a 3D axisymmetric time-independent reaction term:
Define a 2D stationary reaction term:
Define a reaction term with multiple dependent variables:
Solve for the eigenvalues of the Helmholtz equation:
Solve the Helmholtz equation with a source term:
Solve a nonlinear reaction diffusion equation build with basic terms:
Related Guides
History
Text
Wolfram Research (2020), ReactionPDETerm, Wolfram Language function, https://reference.wolfram.com/language/ref/ReactionPDETerm.html.
CMS
Wolfram Language. 2020. "ReactionPDETerm." Wolfram Language & System Documentation Center. Wolfram Research. https://reference.wolfram.com/language/ref/ReactionPDETerm.html.
APA
Wolfram Language. (2020). ReactionPDETerm. Wolfram Language & System Documentation Center. Retrieved from https://reference.wolfram.com/language/ref/ReactionPDETerm.html
BibTeX
@misc{reference.wolfram_2025_reactionpdeterm, author="Wolfram Research", title="{ReactionPDETerm}", year="2020", howpublished="\url{https://reference.wolfram.com/language/ref/ReactionPDETerm.html}", note=[Accessed: 09-December-2025]}
BibLaTeX
@online{reference.wolfram_2025_reactionpdeterm, organization={Wolfram Research}, title={ReactionPDETerm}, year={2020}, url={https://reference.wolfram.com/language/ref/ReactionPDETerm.html}, note=[Accessed: 09-December-2025]}