SystemsModelMerge[{sys1,sys2,…}]
merges the systems models sysj.
SystemsModelMerge
SystemsModelMerge[{sys1,sys2,…}]
merges the systems models sysj.
Details
- The systems model sysj can be a TransferFunctionModel, StateSpaceModel, AffineStateSpaceModel, or NonlinearStateSpaceModel.
- If inputs and states share variable names, they are considered to be the same signal.
- The merged system is given in the most general form of all the sysj.
Examples
open all close allBasic Examples (4)
Merge two continuous-time systems:
Merge two discrete-time systems:
Merge two StateSpaceModel systems:
Merge AffineStateSpaceModel systems with a common input variable:
Scope (13)
Basic Uses (5)
Merge systems that share input variables:
When an input and state have the same variable name, the state defines the input:
Merge a StateSpaceModel and a TransferFunctionModel:
System Types (8)
Merge two TransferFunctionModel systems:
Merge two StateSpaceModel systems:
Descriptor state-space systems:
AffineStateSpaceModel systems:
NonlinearStateSpaceModel systems:
Merging a TransferFunctionModel and StateSpaceModel will give a StateSpaceModel:
Standard linear system and an AffineStateSpaceModel will give an AffineStateSpaceModel:
Standard linear with NonlinearStateSpaceModel gives a NonlinearStateSpaceModel:
AffineStateSpaceModel with NonlinearStateSpaceModel again gives the latter:
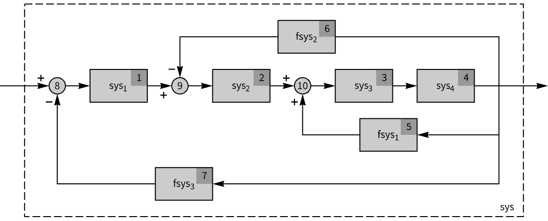
Applications (1)
Use SystemsModelMerge in multi-loop reduction:
Properties & Relations (4)
By default, SystemsModelMerge does not connect inputs or sum outputs:
SystemsModelParallelConnect connects inputs and sums outputs:
When no variables match, SystemsModelMerge is a case of SystemsModelParallelConnect:
SystemsModelMerge can be used to merge two or more systems:
SystemsModelParallelConnect connects only two systems:
SystemsModelMerge can merge a system with no inputs or outputs to another system:
It does not make sense to connect such systems in parallel:
Related Guides
History
Text
Wolfram Research (2014), SystemsModelMerge, Wolfram Language function, https://reference.wolfram.com/language/ref/SystemsModelMerge.html.
CMS
Wolfram Language. 2014. "SystemsModelMerge." Wolfram Language & System Documentation Center. Wolfram Research. https://reference.wolfram.com/language/ref/SystemsModelMerge.html.
APA
Wolfram Language. (2014). SystemsModelMerge. Wolfram Language & System Documentation Center. Retrieved from https://reference.wolfram.com/language/ref/SystemsModelMerge.html
BibTeX
@misc{reference.wolfram_2025_systemsmodelmerge, author="Wolfram Research", title="{SystemsModelMerge}", year="2014", howpublished="\url{https://reference.wolfram.com/language/ref/SystemsModelMerge.html}", note=[Accessed: 10-December-2025]}
BibLaTeX
@online{reference.wolfram_2025_systemsmodelmerge, organization={Wolfram Research}, title={SystemsModelMerge}, year={2014}, url={https://reference.wolfram.com/language/ref/SystemsModelMerge.html}, note=[Accessed: 10-December-2025]}