HeatFluxValue[pred,vars,pars]
represents a thermal heat flux boundary condition for PDEs with predicate pred indicating where it applies, with model variables vars and global parameters pars.
HeatFluxValue[pred,vars,pars,lkey]
represents a thermal heat flux boundary condition with local parameters specified in pars[lkey].
HeatFluxValue
HeatFluxValue[pred,vars,pars]
represents a thermal heat flux boundary condition for PDEs with predicate pred indicating where it applies, with model variables vars and global parameters pars.
HeatFluxValue[pred,vars,pars,lkey]
represents a thermal heat flux boundary condition with local parameters specified in pars[lkey].
Details
- HeatFluxValue specifies a boundary condition for HeatTransferPDEComponent and is used as part of the modeling equation:
- HeatFluxValue is typically used to model heat flow through a boundary caused by a heat source or sink outside of the domain.
- A flow rate is the flow of a quantity like energy or mass per time. Flux is the flow rate through the boundary and is measured in the units of the quantity per area per time.
- HeatFluxValue models the rate of thermal energy flowing through some part of the boundary with dependent variable temperature
in [
], independent variables
in [
] and time variable
in [
]. - Stationary variables vars are vars={Θ[x1,…,xn],{x1,…,xn}}.
- Time-dependent variables vars are vars={Θ[t,x1,…,xn],t,{x1,…,xn}}.
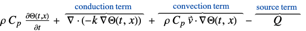
- The non-conservative time dependent heat transfer model HeatTransferPDEComponent is based on a convection-diffusion model with mass density
, specific heat capacity
, thermal conductivity
, convection velocity vector
and heat source
: - In the non-conservative form, HeatFluxValue with heat flux
in [
] or [
] and boundary unit normal
models: - Model parameters pars as specified for HeatTransferPDEComponent.
- The following additional model parameters pars can be given:
-
parameter default symbol "BoundaryUnitNormal" Automatic 
"HeatFlux" - 0
, heat flux [
] - All model parameters may depend on any of
,
and
, as well as other dependent variables. - To localize model parameters, a key lkey can be specified and values from association pars[lkey] are used for model parameters.
- HeatFluxValue evaluates to a NeumannValue.
- The boundary predicate pred can be specified as in NeumannValue.
- If the HeatFluxValue depends on parameters
that are specified in the association pars as …,keypi…,pivi,…, the parameters
are replaced with
.
Examples
open all close allBasic Examples (2)
Set up a thermal heat flux boundary condition:
Model a temperature field and a thermal insulation and a thermal heat flux boundary with:
Set up the heat transfer model variables
:
Specify heat transfer model parameters mass density
, specific heat capacity
and thermal conductivity
:
Scope (5)
Basic Examples (3)
Define model variables vars for a transient acoustic pressure field with model parameters pars and a specific boundary condition parameter:
Define model variables vars for a transient heat field with model parameters pars and multiple specific parameter boundary conditions:
Evaluate the first boundary condition:
Evaluate the second boundary condition:
Model a temperature field and a thermal insulation and a thermal heat flux boundary with:
Set up the heat transfer model variables
:
Specify heat transfer model parameters mass density
, specific heat capacity
and thermal conductivity
:
Time Dependent (1)
Model a temperature field and a thermal heat flux through part of the boundary with:
Set up the heat transfer model variables
:
Specify heat transfer model parameters mass density
, specific heat capacity
and thermal conductivity
:
Specify a thermal heat flux
of
applied at the left end for the first 300 seconds:
Set up the equation with a thermal heat flux
of
applied at the left end for the first 300 seconds:
Time-Dependent Nonlinear (1)
Model a temperature field with a nonlinear heat conductivity term with:
Set up the heat transfer model variables
:
Specify heat transfer model parameters mass density
, specific heat capacity
and a nonlinear thermal conductivity
:
Specify a thermal heat flux
of
applied at the left end for the first 300 seconds:
Set up the equation with a thermal heat flux
of
applied at the left end for the first 300 seconds:
Applications (2)
Time Dependent (1)
Model a temperature field and a thermal heat flux through part of the boundary with:
Set up the heat transfer model variables
:
Specify heat transfer model parameters mass density
, specific heat capacity
and thermal conductivity
:
Specify a thermal heat flux
of
applied at the left end for the first 300 seconds:
Set up the equation with a thermal heat flux
of
applied at the left end for the first 300 seconds:
Time-Dependent Nonlinear (1)
Model a temperature field with a nonlinear heat conductivity term with:
Set up the heat transfer model variables
:
Specify heat transfer model parameters mass density
, specific heat capacity
and a nonlinear thermal conductivity
:
Specify a thermal heat flux
of
applied at the left end for the first 300 seconds:
Set up the equation with a thermal heat flux
of
applied at the left end for the first 300 seconds:
Tech Notes
Related Guides
History
Text
Wolfram Research (2020), HeatFluxValue, Wolfram Language function, https://reference.wolfram.com/language/ref/HeatFluxValue.html.
CMS
Wolfram Language. 2020. "HeatFluxValue." Wolfram Language & System Documentation Center. Wolfram Research. https://reference.wolfram.com/language/ref/HeatFluxValue.html.
APA
Wolfram Language. (2020). HeatFluxValue. Wolfram Language & System Documentation Center. Retrieved from https://reference.wolfram.com/language/ref/HeatFluxValue.html
BibTeX
@misc{reference.wolfram_2025_heatfluxvalue, author="Wolfram Research", title="{HeatFluxValue}", year="2020", howpublished="\url{https://reference.wolfram.com/language/ref/HeatFluxValue.html}", note=[Accessed: 09-December-2025]}
BibLaTeX
@online{reference.wolfram_2025_heatfluxvalue, organization={Wolfram Research}, title={HeatFluxValue}, year={2020}, url={https://reference.wolfram.com/language/ref/HeatFluxValue.html}, note=[Accessed: 09-December-2025]}