HeatOutflowValue[pred,vars,pars]
represents a thermal outflow boundary condition for PDEs with predicate pred indicating where it applies, with model variables vars and global parameters pars.
HeatOutflowValue[pred,vars,pars,lkey]
represents a thermal outflow boundary condition with local parameters specified in pars[lkey].
HeatOutflowValue
HeatOutflowValue[pred,vars,pars]
represents a thermal outflow boundary condition for PDEs with predicate pred indicating where it applies, with model variables vars and global parameters pars.
HeatOutflowValue[pred,vars,pars,lkey]
represents a thermal outflow boundary condition with local parameters specified in pars[lkey].
Details
- HeatOutflowValue specifies a boundary condition for HeatTransferPDEComponent and is used as part of the modeling equation:
- HeatOutflowValue is typically used to model a heat outlet for a convective heat transfer where heat is transferred out of the domain by fluid flow.
- Typically, the thermal convection outweighs the thermal diffusion and a HeatOutflowValue needs to be present.
- HeatOutflowValue models fluid flowing out of a domain with dependent variable
[
], independent variables
in [
] and time variable
in [
]. - Stationary variables vars are vars={Θ[x1,…,xn],{x1,…,xn}}.
- Time-dependent variables vars are vars={Θ[t,x1,…,xn],t,{x1,…,xn}}.
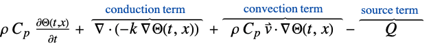
- The non-conservative time-dependent heat transfer model HeatTransferPDEComponent is based on a convection-diffusion model with mass density
, specific heat capacity
, thermal conductivity
, convection velocity vector
and heat source
: - In the non-conservative form, HeatOutflowValue with boundary unit normal
models: - A HeatOutflowValue is the implicit default boundary condition for the non-conservative model form.
- HeatOutflowValue only has an effect when the flow velocity
is normal to the boundary. - Model parameters pars as specified for HeatTransferPDEComponent.
- The following additional model parameters pars can be given:
-
parameter default symbol "BoundaryUnitNormal" Automatic 
"ModelForm" "NonConservative" - - HeatOutflowValue evaluates to a NeumannValue.
- The boundary predicate pred can be specified as in NeumannValue.
- If the HeatOutflowValue depends on parameters
that are specified in the association pars as …,keypi…,pivi,…, the parameters
are replaced with
.
Examples
open all close allBasic Examples (2)
Set up a thermal outflow boundary condition:
Compute the temperature field with model variables
and parameters
:
Set up the equation with a thermal outflow boundary at the right end:
Define the initial temperature field:
Visualize the solution and note how the energy leaves the domain through the thermal outflow boundary on the right:
Scope (2)
Basic Examples (2)
Tech Notes
Related Guides
History
Text
Wolfram Research (2020), HeatOutflowValue, Wolfram Language function, https://reference.wolfram.com/language/ref/HeatOutflowValue.html.
CMS
Wolfram Language. 2020. "HeatOutflowValue." Wolfram Language & System Documentation Center. Wolfram Research. https://reference.wolfram.com/language/ref/HeatOutflowValue.html.
APA
Wolfram Language. (2020). HeatOutflowValue. Wolfram Language & System Documentation Center. Retrieved from https://reference.wolfram.com/language/ref/HeatOutflowValue.html
BibTeX
@misc{reference.wolfram_2025_heatoutflowvalue, author="Wolfram Research", title="{HeatOutflowValue}", year="2020", howpublished="\url{https://reference.wolfram.com/language/ref/HeatOutflowValue.html}", note=[Accessed: 10-December-2025]}
BibLaTeX
@online{reference.wolfram_2025_heatoutflowvalue, organization={Wolfram Research}, title={HeatOutflowValue}, year={2020}, url={https://reference.wolfram.com/language/ref/HeatOutflowValue.html}, note=[Accessed: 10-December-2025]}