StationaryWaveletPacketTransform[data]
gives the stationary wavelet packet transform (SWPT) of an array of data.
StationaryWaveletPacketTransform[data,wave]
gives the stationary wavelet packet transform using the wavelet wave.
StationaryWaveletPacketTransform[data,wave,r]
gives the stationary wavelet packet transform using r levels of refinement.
StationaryWaveletPacketTransform
StationaryWaveletPacketTransform[data]
gives the stationary wavelet packet transform (SWPT) of an array of data.
StationaryWaveletPacketTransform[data,wave]
gives the stationary wavelet packet transform using the wavelet wave.
StationaryWaveletPacketTransform[data,wave,r]
gives the stationary wavelet packet transform using r levels of refinement.
Details and Options
- StationaryWaveletPacketTransform is a generalization of StationaryWaveletTransform where the full tree of wavelet coefficients is computed.
- StationaryWaveletPacketTransform gives a DiscreteWaveletData object.
- Properties of the DiscreteWaveletData dwd can be found using dwd["prop"], and a list of available properties can be found using dwd["Properties"].
- The resulting wavelet coefficients are arrays of the same depth and dimensions as the input data.
- The data can be any of the following:
-
list arbitrary-rank numerical array image arbitrary Image object audio an Audio or sampled Sound object - The possible wavelets wave include:
-
BattleLemarieWavelet[…] Battle–Lemarié wavelets based on B-spline BiorthogonalSplineWavelet[…] B-spline-based wavelet CoifletWavelet[…] symmetric variant of Daubechies wavelets DaubechiesWavelet[…] the Daubechies wavelets HaarWavelet[…] classic Haar wavelet MeyerWavelet[…] wavelet defined in the frequency domain ReverseBiorthogonalSplineWavelet[…] B-spline-based wavelet (reverse dual and primal) ShannonWavelet[…] sinc function-based wavelet SymletWavelet[…] least asymmetric orthogonal wavelet - The default wave is HaarWavelet[].
- With higher settings for the refinement level r, larger scale features are resolved.
- The default refinement level r is given by
, where
is the minimum dimension of data. - With refinement level Full, r is given by
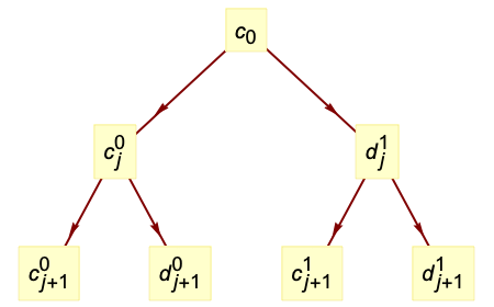
. - The tree of wavelet coefficients at level
consists of coarse coefficients
and detail coefficients
, with
representing the input data. - The forward transform is given by
,
,
, and
, where
is the filter length for the corresponding wspec and
is the length of input data. - The inverse transform is given by
. - The
are lowpass filter coefficients and
are highpass filter coefficients that are defined for each wavelet family. - The following options can be given:
-
Method Automatic method to use WorkingPrecision MachinePrecision precision to use in internal computations - StationaryWaveletPacketTransform uses periodic padding of data.
- InverseWaveletTransform gives the inverse transform.
- By default, InverseWaveletTransform uses coefficients represented by dwd["BasisIndex"] for reconstruction. Use WaveletBestBasis to compute and set an optimal basis.
Examples
open all close allBasic Examples (3)
Compute a stationary wavelet packet transform:
The resulting DiscreteWaveletData represents a full tree of wavelet coefficients:
The inverse transform reconstructs the input:
Use dwd[…,"Audio"] to extract coefficient signals:
Compute the inverse transform:
Transform an Image object:
Scope (33)
Basic Uses (4)
Useful properties can be extracted from the DiscreteWaveletData object:
Get a full list of properties:
Get data and coefficient dimensions:
Use Normal to get all wavelet coefficients explicitly:
Also use All as an argument to get all coefficients:
Use Automatic to get only the coefficients used in the inverse transform:
Use the "TreeView" or "WaveletIndex" to find out what wavelet coefficients are available:
Extract specific coefficient arrays:
Extract several wavelet coefficients corresponding to a list of wavelet index specifications:
Extract all coefficients whose wavelet indexes match a pattern:
Use a higher refinement level to increase the frequency resolution:
With a smaller refinement level, more of the signal energy is left in {0,0}:
With further refinement, {0,0} is resolved into further components:
Wavelet Families (10)
Compute the wavelet packet transform using different wavelet families:
Use different families of wavelets to capture different features:
HaarWavelet (default):
1-Dimensional Data (6)
Plot the coefficients over a common horizontal axis using WaveletListPlot:
Plot against a common vertical axis:
Visualize coefficients as a function of time and refinement level using WaveletScalogram:
The coefficient indexes appear as tooltips when the mouse pointer is moved over a coefficient:
All coefficients are small except coarse coefficients {0,0,…}:
Data oscillating at the highest resolvable frequency (Nyquist frequency):
Only the first detail coefficient {1} and its coarse child coefficients {1,0,0,…} are not small:
Data with large discontinuities:
Coarse coefficients {0,…} have the same large-scale structure as the data:
Detail coefficients are sensitive to discontinuities:
Data with both spatial and frequency structure:
Coarse coefficients {0,…} track the local mean of the data:
First detail coefficient {1} and its coarse child coefficients {1,0,…} represent the oscillations:
2-Dimensional Data (5)
Compute a two-dimensional stationary wavelet packet transform:
View the tree of wavelet coefficients:
Inverse transform to get back the original signal:
Use dwd[…,"MatrixPlot"] to visualize each coefficient as a MatrixPlot:
Visualize diagonal detail coefficient {3} and its child coefficients {3,__}:
In two dimensions, the vector of filtering operations in each direction can be computed:
Interpreting these vectors as binary digit expansions, you get wavelet index numbers:
Get the lowpass and highpass filters for a Haar wavelet:
The resulting 2D filters are outer products of filters in the two directions:
Wavelet transform of step data:
Data with a vertical discontinuity:
All horizontal and diagonal detail coefficients, wavelet index {___,2|3,___}, are zero:
Data with horizontal discontinuity:
All vertical and diagonal detail coefficients, wavelet index {___,1|3,___}, are zero:
Higher-Dimensional Data (2)
Compute a three-dimensional wavelet packet transform:
List all computed wavelet coefficients:
Inverse transform to get back the original signal:
Wavelet transform of a three-dimensional cross array:
Visualize lowpass wavelet coefficients {___,0}:
Energy of the original data is conserved within the transformed coefficients:
Audio Data (2)
Sound Data (2)
Image Data (2)
Transform an Image object:
The inverse transform yields a reconstructed Image object:
Wavelet coefficients are normally given as lists of data for each image channel:
Get all coefficients as Image objects instead:
Get raw Image objects with no rescaling of color levels:
Get the inverse transform of the {0,1} coefficient as an Image object:
Generalizations & Extensions (3)
StationaryWaveletPacketTransform works on arrays of symbolic quantities:
Inverse transform recovers the input exactly:
Options (3)
WorkingPrecision (3)
By default, WorkingPrecision->MachinePrecision is used:
Use higher-precision computation:
Use WorkingPrecision->∞ for exact computation:
Properties & Relations (10)
StationaryWaveletPacketTransform computes the full tree of wavelet coefficients:
StationaryWaveletTransform computes a subset of the full tree of coefficients:
DiscreteWaveletPacketTransform coefficients halve in length with each level of refinement:
Rotated data gives different coefficients:
StationaryWaveletPacketTransform coefficients have the same length as the data:
Rotated data gives rotated coefficients:
The default refinement is given by Min[Round[Log2[Min[Dimensions[data]]]],4]:
The energy norm is conserved for orthogonal wavelet families:
The energy norm is approximately conserved for biorthogonal wavelet families:
The mean of the data is captured at the maximum refinement level of the transform:
Extract the coefficient for the maximum refinement level:
The sum of inverse transforms from individual coefficient arrays gives the original data:
Individually inverse transform each wavelet coefficient array:
The sum gives the original data:
Compute a Haar stationary wavelet packet transform in one dimension:
Compute {0} and {1} wavelet coefficients:
Compare with StationaryWaveletPacketTransform:
In two dimensions, a separate filter is applied in each dimension:
Lowpass and highpass filters for Haar wavelet:
Haar wavelet transform of matrix data:
Compare with StationaryWaveletPacketTransform using HaarWavelet:
Image channels are transformed individually:
Combine {0} coefficients of separately transformed image channels:
Compare with {0} coefficient of StationaryWaveletPacketTransform of original image:
Related Guides
Text
Wolfram Research (2010), StationaryWaveletPacketTransform, Wolfram Language function, https://reference.wolfram.com/language/ref/StationaryWaveletPacketTransform.html (updated 2017).
CMS
Wolfram Language. 2010. "StationaryWaveletPacketTransform." Wolfram Language & System Documentation Center. Wolfram Research. Last Modified 2017. https://reference.wolfram.com/language/ref/StationaryWaveletPacketTransform.html.
APA
Wolfram Language. (2010). StationaryWaveletPacketTransform. Wolfram Language & System Documentation Center. Retrieved from https://reference.wolfram.com/language/ref/StationaryWaveletPacketTransform.html
BibTeX
@misc{reference.wolfram_2025_stationarywaveletpackettransform, author="Wolfram Research", title="{StationaryWaveletPacketTransform}", year="2017", howpublished="\url{https://reference.wolfram.com/language/ref/StationaryWaveletPacketTransform.html}", note=[Accessed: 09-December-2025]}
BibLaTeX
@online{reference.wolfram_2025_stationarywaveletpackettransform, organization={Wolfram Research}, title={StationaryWaveletPacketTransform}, year={2017}, url={https://reference.wolfram.com/language/ref/StationaryWaveletPacketTransform.html}, note=[Accessed: 09-December-2025]}