StationaryWaveletTransform[data]
gives the stationary wavelet transform (SWT) of an array of data.
StationaryWaveletTransform[data,wave]
gives the stationary wavelet transform using the wavelet wave.
StationaryWaveletTransform[data,wave,r]
gives the stationary wavelet transform using r levels of refinement.
StationaryWaveletTransform
StationaryWaveletTransform[data]
gives the stationary wavelet transform (SWT) of an array of data.
StationaryWaveletTransform[data,wave]
gives the stationary wavelet transform using the wavelet wave.
StationaryWaveletTransform[data,wave,r]
gives the stationary wavelet transform using r levels of refinement.
Details and Options
- StationaryWaveletTransform is similar to DiscreteWaveletTransform except that no subsampling occurs at any refinement level and the resulting coefficient arrays all have the same dimensions as the original data.
- StationaryWaveletTransform gives a DiscreteWaveletData object.
- Properties of the DiscreteWaveletData dwd can be found using dwd["prop"], and a list of available properties can be found using dwd["Properties"].
- The data can be any of the following:
-
list arbitrary-rank numerical array image arbitrary Image object audio an Audio or sampled Sound object - The possible wavelets wave include:
-
BattleLemarieWavelet[…] Battle–Lemarié wavelets based on B-spline BiorthogonalSplineWavelet[…] B-spline-based wavelet CoifletWavelet[…] symmetric variant of Daubechies wavelets DaubechiesWavelet[…] the Daubechies wavelets HaarWavelet[…] classic Haar wavelet MeyerWavelet[…] wavelet defined in the frequency domain ReverseBiorthogonalSplineWavelet[…] B-spline-based wavelet (reverse dual and primal) ShannonWavelet[…] sinc function-based wavelet SymletWavelet[…] least asymmetric orthogonal wavelet - The default wave is HaarWavelet[].
- With higher settings for the refinement level r, larger-scale features are resolved.
- The default refinement level r is given by
, where
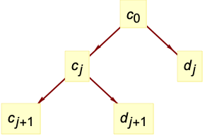
is the minimum dimension of data. » - The tree of wavelet coefficients at level
consists of coarse coefficients
and detail coefficients
, with
representing the input data. - The forward transform is given by
and
, where
is the filter length for the corresponding wspec and
is the length of input data. » - The inverse transform is given by
. » - The
are lowpass filter coefficients and
are highpass filter coefficients that are defined for each wavelet family. - The dimensions of
and
are the same as input data dimensions. - The following options can be given:
-
Method Automatic method to use WorkingPrecision MachinePrecision precision to use in internal computations - StationaryWaveletTransform uses periodic padding of data.
- InverseWaveletTransform gives the inverse transform.
Examples
open all close allBasic Examples (3)
Compute a stationary wavelet transform using the HaarWavelet:
Use Normal to view all coefficients:
Use dwd[…,"Audio"] to extract coefficient signals:
Verify lengths of all coefficient signals:
Compute the inverse transform:
Transform an Image object:
Scope (34)
Basic Uses (6)
Compute a stationary wavelet transform:
The resulting DiscreteWaveletData represents a tree of transform coefficients:
The inverse transform reconstructs the input:
Useful properties can be extracted from the DiscreteWaveletData object:
Get a full list of properties:
Get data and coefficient dimensions:
Use Normal to get all wavelet coefficients explicitly:
Also use All as an argument to get all coefficients:
Use Automatic to get only the coefficients used in the inverse transform:
Use the "TreeView" or "IndexMap" to find out what wavelet coefficients are available:
Extract specific coefficient arrays:
Extract several wavelet coefficients corresponding to the list of wavelet index specifications:
Extract all coefficients whose wavelet indexes match a pattern:
The Automatic coefficients are used by default in functions like WaveletListPlot:
Use a higher refinement level to increase the frequency resolution:
With a smaller refinement level, more of the signal energy is left in {0,0,0}:
With further refinement, {0,0,0} is resolved into further components:
Wavelet Families (10)
Compute the stationary wavelet transform using different wavelet families:
Use different families of wavelets to capture different features:
HaarWavelet (default):
Vector Data (6)
Plot the coefficients over a common horizontal axis using WaveletListPlot:
Plot against a common vertical axis:
Visualize coefficients as a function of time and refinement level using WaveletScalogram:
The coefficient indexes appear as tooltips when the mouse pointer is moved over a coefficient:
All coefficients are small except coarse coefficients {0,0,…}:
Data oscillating at the highest resolvable frequency (Nyquist frequency):
Only the first detail coefficient {1} is nonzero:
Data with large discontinuities:
Coarse coefficients {0,…} have the same large-scale structure as the data:
Detail coefficients are sensitive to discontinuities:
Data with both spatial and frequency structure:
Coarse coefficients {0,…} track the local mean of the data:
The first detail coefficient identifies the oscillatory region:
Matrix Data (5)
Compute a two-dimensional stationary wavelet transform:
View the tree of wavelet coefficients:
Inverse transform to get back the original signal:
Use dwd[…,"MatrixPlot"] to visualize each coefficient as a MatrixPlot:
Visualize wavelet coefficients at higher refinement levels:
In two dimensions, the vector of filtering operations in each direction can be computed:
Interpreting these vectors as binary digit expansions, you get wavelet index numbers:
Get the lowpass and highpass filters for a Haar wavelet:
The resulting 2D filters are outer products of filters in the two directions:
Wavelet transform of step data:
Data with a vertical discontinuity:
Only the vertical detail coefficients, wavelet index {…,1}, are nonzero:
Data with horizontal discontinuity:
Only the horizontal detail coefficients, wavelet index {…,2}, are nonzero:
Array Data (2)
Compute a three-dimensional stationary wavelet transform:
Tree view of all coefficients:
Inverse transform to get back the original signal:
Wavelet transform of a three-dimensional cross array:
Visualize wavelet coefficients:
Energy of the original data is conserved within the transformed coefficients:
Image Data (2)
Transform an Image object:
The inverse transform yields a reconstructed Image object:
Wavelet coefficients are normally given as arrays of data for each image channel:
Number of channels and dimensions of the original image are the same:
Get all coefficients as Image objects instead of arrays of data:
Get raw Image objects with no rescaling of color levels:
Get the inverse transform of the {0,1} coefficient as an Image object:
Sound Data (3)
Transform a Sound object:
The inverse transform yields a reconstructed Sound object:
By default, coefficients are given as lists of data for each sound channel:
Number of channels and data length in the original sound are the same:
Get the {0,1} coefficient as a Sound object:
Inverse transform of {0,0,1} coefficient as a Sound object:
Browse all coefficients using a MenuView:
Generalizations & Extensions (3)
StationaryWaveletTransform works on arrays of symbolic quantities:
Inverse transform recovers the input exactly:
Specify any internal working precision:
Options (3)
WorkingPrecision (3)
By default, WorkingPrecision->MachinePrecision is used:
Use higher-precision computation:
Use WorkingPrecision->∞ for exact computation:
Applications (3)
Inverse Halftoning (1)
A simple wavelet-based inverse halftoning:
Apply GaussianFilter on the detail coefficients:
Numerical Differentiation (1)
Differentiate noisy data using wavelet transform:
Translation-Rotation-Transform (TRT) is used to reduce boundary effects by subtracting a linear component from the input signal:
Since HaarWavelet has one vanishing moment, choose it to perform a wavelet transform on
:
Detail coefficients give the differentiation of the data. Coefficients at refinement level 4 are chosen to minimize noise:
Rescale the differentiated values:
Compare wavelet-based numerical differentiation with exact differentiation:
Compare with standard Wolfram Language numerical differentiation:
Image Fusion (1)
Add texture to an existing image:
Perform wavelet transform on both images:
Combine detail coefficients of the two images by taking their mean:
Append the coarse coefficient of the first image:
Construct a new DiscreteWaveletData of the combined wavelet coefficients:
Properties & Relations (12)
StationaryWaveletPacketTransform computes the full tree of wavelet coefficients:
StationaryWaveletTransform computes a subset of the full tree of coefficients:
DiscreteWaveletTransform coefficients halve in length with each level of refinement:
Rotated data gives different coefficients:
StationaryWaveletTransform coefficients have the same length as the original data:
Rotated data gives rotated coefficients:
The default refinement is given by
:
The energy norm is conserved for orthogonal wavelet families:
The energy norm is approximately conserved for biorthogonal wavelet families:
The mean of the data is captured at the maximum refinement level of the transform:
Extract the coefficient for the maximum refinement level:
The sum of inverse transforms from individual coefficient arrays gives the original data:
Individually inverse transform each wavelet coefficient array:
The sum gives the original data:
Compute stationary wavelet coefficients for periodic data:
Coarse coefficients at level
are given by
:
Detail coefficients at level
are given by
:
Compute partial stationary inverse wavelet transform:
Coarse coefficients at level
are given:
Detail coefficients at level
are given:
Inverse wavelet transform at level
is given by
:
Reconstruct coarse coefficients {0,0} at refinement level
:
Reconstruct coarse coefficients {0} at refinement level
:
Compute a Haar stationary wavelet transform in one dimension:
Compute {0} and {1} wavelet coefficients:
Compare with DiscreteWaveletPacketTransform:
In two dimensions, a separate filter is applied in each dimension:
Lowpass and highpass filters for a Haar wavelet:
Haar wavelet transform of matrix data:
Compare with DiscreteWaveletPacketTransform using HaarWavelet:
Image channels are transformed individually:
Combine {0} coefficients of separately transformed image channels:
Compare with {0} coefficient of StationaryWaveletTransform of the original image:
Related Guides
Text
Wolfram Research (2010), StationaryWaveletTransform, Wolfram Language function, https://reference.wolfram.com/language/ref/StationaryWaveletTransform.html (updated 2017).
CMS
Wolfram Language. 2010. "StationaryWaveletTransform." Wolfram Language & System Documentation Center. Wolfram Research. Last Modified 2017. https://reference.wolfram.com/language/ref/StationaryWaveletTransform.html.
APA
Wolfram Language. (2010). StationaryWaveletTransform. Wolfram Language & System Documentation Center. Retrieved from https://reference.wolfram.com/language/ref/StationaryWaveletTransform.html
BibTeX
@misc{reference.wolfram_2025_stationarywavelettransform, author="Wolfram Research", title="{StationaryWaveletTransform}", year="2017", howpublished="\url{https://reference.wolfram.com/language/ref/StationaryWaveletTransform.html}", note=[Accessed: 09-December-2025]}
BibLaTeX
@online{reference.wolfram_2025_stationarywavelettransform, organization={Wolfram Research}, title={StationaryWaveletTransform}, year={2017}, url={https://reference.wolfram.com/language/ref/StationaryWaveletTransform.html}, note=[Accessed: 09-December-2025]}