ImageVectorscopePlot[image]
plots the chrominance of image.
ImageVectorscopePlot
ImageVectorscopePlot[image]
plots the chrominance of image.
Details and Options
- ImageVectorscopePlot is typically used to measure and adjust the hue and saturation of colors of an image or frames of a video.
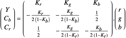
- Pixels are plotted in the YCbCr space, derived from the RGB space using the following transformation:
- Coefficients
,
,
are equal to the
component of the XYZ representation of red, green and blue color primaries, respectively. - ImageVectorscopePlot has the same options as Graphics, with the following additions and changes: [List of all options]
-
Appearance Automatic appearance of the plot AppearanceElements Automatic elements to include in the plot Masking All the region of interest MaxPlotPoints Automatic the maximum number of samples to show PlotStyle Automatic the styles in which objects are to be drawn - Possible settings for the Appearance option include:
-

Automatic plots solid color points 
"Color" the points keep their original colors - Possible settings for the AppearanceElements option include:
-
"SafeTargets" target showing the RGB corners at 75% saturation "SkinToneAxis" axes along and perpendicular to the skin hue "TargetNames" target labels "Targets" target showing the RGB corners - Additional settings include:
-
"Circle" max CbCr saturation "GamutLimit" max saturation at a given hue "Ticks" ticks on the max saturation circle {elem,f} the specified elem at a fraction f of the max saturation - By default, using AppearanceElementsAutomatic, "Targets", "TargetNames" and {"GamutLimit",.75} are displayed.
- ColorData["DefaultPlotColors"] gives the default sequence of colors used by PlotStyle.
-
AlignmentPoint Center the default point in the graphic to align with AspectRatio Automatic ratio of height to width Axes False whether to draw axes AxesLabel None axes labels AxesOrigin Automatic where axes should cross AxesStyle {} style specifications for the axes Background None background color for the plot BaselinePosition Automatic how to align with a surrounding text baseline BaseStyle {} base style specifications for the graphic ContentSelectable Automatic whether to allow contents to be selected CoordinatesToolOptions Automatic detailed behavior of the coordinates tool Epilog {} primitives rendered after the main plot FormatType TraditionalForm the default format type for text Frame False whether to put a frame around the plot FrameLabel None frame labels FrameStyle {} style specifications for the frame FrameTicks Automatic frame ticks FrameTicksStyle {} style specifications for frame ticks GridLines None grid lines to draw GridLinesStyle {} style specifications for grid lines ImageMargins 0. the margins to leave around the graphic ImagePadding All what extra padding to allow for labels etc. ImageSize Automatic the absolute size at which to render the graphic LabelStyle {} style specifications for labels Method Automatic details of graphics methods to use PlotLabel None an overall label for the plot PlotRange All range of values to include PlotRangeClipping False whether to clip at the plot range PlotRangePadding Automatic how much to pad the range of values PlotRegion Automatic the final display region to be filled PreserveImageOptions Automatic whether to preserve image options when displaying new versions of the same graphic Prolog {} primitives rendered before the main plot RotateLabel True whether to rotate y labels on the frame Ticks Automatic axes ticks TicksStyle {} style specifications for axes ticks Appearance Automatic appearance of the plot AppearanceElements Automatic elements to include in the plot Masking All the region of interest MaxPlotPoints Automatic the maximum number of samples to show PlotStyle Automatic the styles in which objects are to be drawn
List of all options
Examples
open all close allBasic Examples (2)
Scope (2)
Options (23)
Appearance (1)
By default, pixels are drawn in a solid color:
Use Appearance"Color" to draw pixels using their original color:
AppearanceElements (3)
By default, a gamut limit and location of reference colors are displayed:
Specify elements to be displayed:
Use AppearanceElementsAll to display all available elements:
AspectRatio (1)
By default, the ratio of the height to width for the plot is determined automatically:
Make the height the same as the width with AspectRatio1:
Specify the height-to-width ratio:
AspectRatioFull adjusts the height and width to tightly fit inside other constructs:
Axes (2)
AxesOrigin (2)
AxesStyle (1)
ImageSize (7)
Use named sizes such as Tiny, Small, Medium and Large:
Specify the width of the plot:
Specify the height of the plot:
Allow the width and height to be up to a certain size:
Specify the width and height for a graphic, padding with space if necessary:
Setting AspectRatioFull will fill the available space:
Use maximum sizes for the width and height:
Use ImageSizeFull to fill the available space in an object:
Specify the image size as a fraction of the available space:
PlotStyle (2)
Use PlotStyle to control the style of the displayed points:
Applications (4)
Related Guides
History
Text
Wolfram Research (2020), ImageVectorscopePlot, Wolfram Language function, https://reference.wolfram.com/language/ref/ImageVectorscopePlot.html.
CMS
Wolfram Language. 2020. "ImageVectorscopePlot." Wolfram Language & System Documentation Center. Wolfram Research. https://reference.wolfram.com/language/ref/ImageVectorscopePlot.html.
APA
Wolfram Language. (2020). ImageVectorscopePlot. Wolfram Language & System Documentation Center. Retrieved from https://reference.wolfram.com/language/ref/ImageVectorscopePlot.html
BibTeX
@misc{reference.wolfram_2025_imagevectorscopeplot, author="Wolfram Research", title="{ImageVectorscopePlot}", year="2020", howpublished="\url{https://reference.wolfram.com/language/ref/ImageVectorscopePlot.html}", note=[Accessed: 09-December-2025]}
BibLaTeX
@online{reference.wolfram_2025_imagevectorscopeplot, organization={Wolfram Research}, title={ImageVectorscopePlot}, year={2020}, url={https://reference.wolfram.com/language/ref/ImageVectorscopePlot.html}, note=[Accessed: 09-December-2025]}