NContourIntegrate[f,z∈cont]
gives the numerical integral of f along the contour defined by cont in the complex plane.
NContourIntegrate
NContourIntegrate[f,z∈cont]
gives the numerical integral of f along the contour defined by cont in the complex plane.
Details and Options
- Contour integration is also known as path integration or complex line integration.
- Contour integrals arose in the study of holomorphic and meromorphic functions in complex analysis, but they are now used in a wide range of applications, including the computation of inverse Laplace transforms and Z transforms, definite integrals and sums, and solutions of partial differential equations.
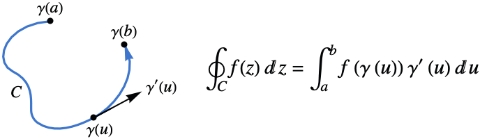
- The contour integral of a function
along a contour cont
is given by: - The value of the contour integral is independent of the parametrization, but it does depend on the orientation of the contour cont.
- The function f is typically a meromorphic function of z, but it can be any piecewise continuous function that is defined in a neighborhood of cont in the complex plane.
- The contour integral of a meromorphic function
along a closed contour cont can be computed using Cauchy's residue theorem. - Commonly used closed contours cont include: »
-

{"Hairpin",hl} encircle a half-line hl 
{"UpperSemicircle",ipts,epts} encircle the upper half-plane, including the points ipts and excluding the points epts, all on the real axis 
{"LowerSemicircle",ipts,epts} encircle the lower half-plane, including the points ipts and excluding the points epts, all on the real axis 
{"Dumbbell",pt1,pt2} encircle the capsule given by points pt1 and pt2 - The complex points are given as {x,y} pairs; complex half-lines are given as HalfLine primitives.
- A contour cont in
can also be specified as a curve region (RegionQ) in
. - For a parametric contour ParametricRegion[{x[t],y[t]},{{t,a,b}}], the orientation is in the direction of increasing t.
- Special contours in
and their assumed orientations: -

Line[{p1,p2,…}] from p1 to p2 etc. 
HalfLine[{p1,p1}] from p1 toward p2 
InfiniteLine[{p1,p2}] from p1 toward p2 
Circle[p,…] counterclockwise - Area regions such as Polygon can be used, and the contours are then taken to be the boundary contours RegionBoundary[Polygon[…]].
- Special area regions in
and their assumed boundary contour orientations: -

Triangle[{p1,p2,p3}] counterclockwise 
Rectangle[p1,p2] counterclockwise 
RegularPolygon[n,…] counterclockwise 
Polygon[{p1,p2,…}{{q1,q2,…},…}] counterclockwise of the outer contour, clockwise for inner contours 
Disk[p,…] counterclockwise 
Ellipsoid[p,…] counterclockwise 
StadiumShape[{p1,p2},r] counterclockwise 
Annulus[p,{rm,rm},…] counterclockwise for outer contour and clockwise for inner contour - The regions in cont may be wrapped with Inactive to prevent auto-evaluation.
- The following options can be given:
-
AccuracyGoal Automatic digits of absolute accuracy sought MaxPoints Automatic maximum total number of sample points MaxRecursion Automatic maximum number of recursive subdivisions Method Automatic method to use MinRecursion 0 minimum number of recursive subdivisions PrecisionGoal Automatic digits of precision sought WorkingPrecision Automatic the precision used in internal computations
Examples
open all close allBasic Examples (3)
Integrate 1/z along the unit circle:
Integrate a rational function along a circle with a center at the origin and radius 2:
Integrate a meromorphic function along an elliptical contour:
Compare the result with ContourIntegrate:
Scope (46)
Basic Uses (9)
Contour integral over a circular path:
Compare to ContourIntegrate:
Contour integral over a polygonal chain in the complex plane:
Contour integrate over a half-disk:
Numerical contour integral of a trigonometric expression:
Contour integral over a parametric contour in the complex plane:
Contour integral of a meromorphic function over a closed semicircle:
Contour integral of a function with an essential singularity:
Special Topic: Rational Functions (8)
Integrate a rational function along a circle:
Integrate a rational function along a pentagonal contour:
Contour integral of a rational function along a triangular path:
Contour integral of a rational function along a rectangular path:
Contour integral along the unit circle:
Contour integral over an open polygonal chain:
Contour integral over an open arc:
Contour integral of a rational function along a circular path:
Special Topic: Meromorphic Functions (5)
Special Topic: Functions with Essential Singularities (4)
Sin function with an essential singularity inside the contour:
Contour integral of a function with an essential singularity:
Special Topic: Non-analytic Functions (4)
Contour integral over a circular path:
Contour integral of the Arg function:
Special Topic: Functions with Branch Cuts (2)
Special Topic: Named Contours (7)
Contour integral along the real axis in a positive direction, around poles on the real axis, closing in the upper half of the complex plane:
Contour integral along the real axis in a positive direction, around poles on the real axis, closing in the lower half of the complex plane:
By default, this contour is traversed clockwise.
Contour integral around a hairpin or Hankel contour:
Integral around a hairpin or Hankel contour:
Compare to the symbolic evaluation:
Contour integral that evaluates to a Zeta function:
Special Topic: Region Contours (7)
Options (7)
AccuracyGoal (1)
The option AccuracyGoal sets the number of digits of accuracy:
The result with default settings only sets a PrecisionGoal:
MaxPoints (1)
MaxRecursion (1)
The option MaxRecursion specifies the maximum number of recursive steps:
Method (1)
The option Method can take the same values as in NIntegrate. For example:
MinRecursion (1)
PrecisionGoal (1)
The option PrecisionGoal sets the relative tolerance in the integration:
WorkingPrecision (1)
Using WorkingPrecision, the working precision can be set:
Applications (22)
Rational Functions (2)
Contour integral on a half-disk of large radius:
It agrees with the limit for large
computed symbolically:
The same result obtained with NIntegrate:
Trig-Rational Products (2)
Trigonometric Functions (3)
Fourier Transform (2)
Inverse Laplace Transform (4)
Inverse Laplace transform of a function:
Computation using a contour integral:
Inverse Laplace transform of a logarithm of a rational function:
Inverse Laplace transform of a function containing a square root:
The same computation using a contour integral:
Inverse Laplace transform of a function containing Log:
Inverse Mellin Transform (4)
Inverse Mellin transform of a function:
Compute it from a contour integral:
Inverse Mellin transform of a function:
Compute it from its definition as a contour integral:
Mellin transform of a function:
Recover the function at
using an inverse Mellin transform:
Inverse Z Transform (2)
Classical Theorems (3)
Residue theorem applied to the contour integral of a meromorphic function over a closed path:
The integral is equal to
times the sum of the residues of the poles inside the contour:
The integration contour can be deformed without changing the value of the integral, provided that no singularities of the function are crossed:
If no singularities lie inside the contour, the integral is zero:
Properties & Relations (6)
Apply N[ContourIntegrate[…]] to obtain a numerical solution if the symbolic calculation fails:
This can also be computed using NIntegrate:
It can also be computed with NContourIntegrate:
Numerical contour integrals can also be obtained using NIntegrate:
NIntegrate can integrate along a straight contour in the complex plane:
Contour integrals over a closed path can also be obtained using ResidueSum:
Poles of a meromorphic function can be found using FunctionPoles:
The integral can also be computed using Residue:
Contour integrals over a closed path can also be obtained using Residue:
Interactive Examples (2)
Contour integral over a sector of varying radius:
Compare with ContourIntegrate:
Another contour integral over a sector of varying radius:
Compare with ContourIntegrate:
Related Guides
History
Text
Wolfram Research (2024), NContourIntegrate, Wolfram Language function, https://reference.wolfram.com/language/ref/NContourIntegrate.html.
CMS
Wolfram Language. 2024. "NContourIntegrate." Wolfram Language & System Documentation Center. Wolfram Research. https://reference.wolfram.com/language/ref/NContourIntegrate.html.
APA
Wolfram Language. (2024). NContourIntegrate. Wolfram Language & System Documentation Center. Retrieved from https://reference.wolfram.com/language/ref/NContourIntegrate.html
BibTeX
@misc{reference.wolfram_2025_ncontourintegrate, author="Wolfram Research", title="{NContourIntegrate}", year="2024", howpublished="\url{https://reference.wolfram.com/language/ref/NContourIntegrate.html}", note=[Accessed: 09-December-2025]}
BibLaTeX
@online{reference.wolfram_2025_ncontourintegrate, organization={Wolfram Research}, title={NContourIntegrate}, year={2024}, url={https://reference.wolfram.com/language/ref/NContourIntegrate.html}, note=[Accessed: 09-December-2025]}