NLineIntegrate[f,{x,y,…}∈curve]
computes the numerical scalar line integral of the function f[x,y,…] over the curve.
NLineIntegrate[{p,q,…},{x,y,…}∈curve]
computes the numerical vector line integral of the vector function {p[x,y,…],q[x,y,…],…}.
NLineIntegrate
NLineIntegrate[f,{x,y,…}∈curve]
computes the numerical scalar line integral of the function f[x,y,…] over the curve.
NLineIntegrate[{p,q,…},{x,y,…}∈curve]
computes the numerical vector line integral of the vector function {p[x,y,…],q[x,y,…],…}.
Details and Options
- Line integrals are also known as curve integrals and work integrals.
- Scalar line integrals integrate scalar functions along a curve. They typically compute things like length, mass and charge for a curve.
- Vector line integrals are used to compute the work done by a vector function along a curve in the direction of its tangent. Typical vector functions include a force field, electric field and fluid velocity field.
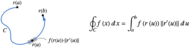
- The scalar line integral of the function f along a curve
is given by: - … where
is the measure of a parametric curve segment. - The scalar line integral is independent of the parametrization and orientation of the curve. Any one-dimensional RegionQ object can be used as a curve.
- The vector line integral of the function F along a curve
is given by: - … where
is projection of the vector function
onto the tangent direction so only the component in the tangent direction gets integrated. - The vector line integral is independent of the parametrization of the curve, but it does depend on the orientation of the curve.
- The orientation for a curve is given by a tangent vector field
over the curve. - For a parametric curve ParametricRegion[{r1[u],…,rn[u]},…], the tangent vector field
is taken to be ∂ur[u]. - Special curves in
with their assumed tangent orientations include: -

Line[{p1,p2,…}] the orientation follows the points in the order they are given from p1 to p2 etc. 
HalfLine[{p1,p2}]
HalfLine[p,v]the orientation is from p1 to p2 or in the v direction 
InfiniteLine[{p1,p2}]
InfiniteLine[p,v]the orientation is from p1 to p2 or in the v direction 
Circle[p,r] the orientation is counterclockwise - Special curves in
with their assumed tangent orientations include: -

Line[{p1,p2,…}] the orientation follows the points in the order they are given from p1 to p2 etc. 
HalfLine[{p1,p2}]
HalfLine[p,v]the orientation is from p1 to p2 or in the v direction 
InfiniteLine[{p1,p2}]
InfiniteLine[p,v]the orientation is from p1 to p2 or in the v direction - Special curves in
with their assumed tangent orientations include: -

Line[{p1,p2,…}] the orientation follows the points in the order they are given 
HalfLine[{p1,p2}]
HalfLine[p,v]the orientation is from p1 to p2 the orientation is given by v 
InfiniteLine[{p1,p2}]
InfiniteLine[p,v]the orientation is from p1 to p2 the orientation is given by v - The coordinates along the curve can be specified using VectorSymbol. »
- The following options can be given:
-
AccuracyGoal Infinity digits of absolute accuracy sought MaxPoints Automatic maximum total number of sample points MaxRecursion Automatic maximum number of recursive subdivisions Method Automatic method to use MinRecursion 0 minimum number of recursive subdivisions PrecisionGoal Automatic digits of precision sought WorkingPrecision MachinePrecision the precision used in internal computations
Examples
open all close allBasic Examples (7)
Line integral of a scalar field over a circle:
Line integral of a vector field over a line segment:
Line integral of a vector field over a space curve:
Line integral of a scalar field in two dimensions:
Curve over which to integrate:
A contour plot of
and the curve:
Line integral of a vector field in two dimensions:
The vector field and the integration path:
Line integral of a vector field in three dimensions:
Use VectorSymbol:
Scope (33)
Basic Uses (4)
Line integral of a scalar field:
Line integral of a vector field in three dimensions:
LineIntegrate works with many special curves:
Scalar Functions (11)
Line integral of a scalar field over a curve:
Contour plot of
and the curve:
Line integral of a scalar field over an arc of a circle:
Line integral of a scalar field over a parametric curve:
Contour plot of the function and the curve:
Line integral of a scalar field over a circle:
Line integral of a scalar field over a space curve:
Line integral of a scalar field over the boundary of an annulus:
Contour plot of the function and the curve:
Line integral of a scalar field over a closed polygon:
Contour plot of the function and the curve:
Line integral of a scalar field over an elliptical path:
Contour plot of the function and the curve:
Line integral of a scalar field over a parametric curve:
Line integral of a scalar field over a circle:
Contour plot of
and the curve:
Line integral of a scalar field over the boundary of a sector of a disk:
Vector Functions (12)
Line integral of a vector field in three dimensions over a parametrized curve:
Visualization of the vector field and the curve:
Line integral of a vector field over a curve in two dimensions:
Line integral of a vector field over a circular arc:
Line integral of a vector field over a line segment:
Line integral of a vector field over a parametrized curve in three dimensions:
Line integral of a vector field over a curve:
Line integral of a vector field over an elliptical arc:
Line integral of a vector field over a parametric curve:
Line integral of a vector field over a parametric curve in three dimensions:
Line integral of a vector field over a parametrized curve:
Special Curves (4)
Options (8)
AccuracyGoal (1)
The option AccuracyGoal sets the number of digits of accuracy:
The result with default settings only sets a PrecisionGoal:
MaxPoints (1)
MaxRecursion (1)
The option MaxRecursion specifies the maximum number of recursive steps:
Method (1)
The option Method can take the same values as in NIntegrate. For example:
MinRecursion (1)
PrecisionGoal (1)
The option PrecisionGoal sets the relative tolerance in the integration:
WorkingPrecision (2)
If a WorkingPrecision is specified, the computation is done at that working precision:
The result has finite precision if the integrand has a finite precision:
Applications (27)
College Calculus (10)
Line integral of a function
over a line segment:
Line integral of a vector field over a curve:
Mass of a thin circular wire of radius 1 with linear density
:
Work done by the force field
on a particle that moves along a line segment:
Line integral of a vector field along a path:
Line integral of a vector field along a curve:
Work done by the force
as a particle moves along the curve
:
Line integral of a vector field along the unit circle centered at the origin:
Line integral of a vector field along a circle of radius 2 centered at the origin:
Numerical value of the line integral of a vector field over a path:
Lengths (3)
Perimeter of a cardioid using a line integral:
The length can also be calculated with RegionMeasure:
Areas (5)
Work by a Force (4)
Work done by a force
force as an object is moved on a straight line:
Work done by the electric force as a charged particle of charge
is moved from {1,1,0} to {2,2,0} in the electric field of a charged infinite wire of charge density
:
Work done by an elastic force directed toward the origin as a quarter of an ellipse is traced:
Work of the electric force as a charge
is moved along the
axis from
to infinity in the electric field of a charge
:
Centroids (2)
Classical Theorems (3)
A vector field is conservative if its line integral depends only on the values at the endpoints, not on the path:
The field
is the gradient of a scalar function
:
All gradients of scalar fields are conservative. For example, the line integral of
over the curve is:
This is the same as the difference of the values of
at the endpoints of the curve:
Green's theorem. The line integral of the vector field
over a closed curve is:
This can be related to a surface integral of
over the region enclosed by the curve, where
is defined as:
Stokes's theorem. The line integral of a vector field
along a closed line in three dimensions is:
This is equal to the surface integral of the Curl of
on any surface having the curve as its boundary:
The surface integral across a different surface with the same boundary is the same:
Properties & Relations (5)
Apply N[LineIntegrate[…]] to obtain a numerical solution if the symbolic calculation fails:
Find the center of mass of a triangular wire of unit linear density:
Find the
component of the center of mass:
The center of mass can also be obtained using RegionCentroid:
Find the moment of inertia around the
axis of a circular wire of unit linear density centered at the origin in the
-
plane:
The answer can also be computed with MomentOfInertia:
Find the length of an epicycloid:
The same answer can be obtained using ArcLength:
The result can be obtained using RegionMeasure:
Related Guides
Text
Wolfram Research (2024), NLineIntegrate, Wolfram Language function, https://reference.wolfram.com/language/ref/NLineIntegrate.html (updated 2025).
CMS
Wolfram Language. 2024. "NLineIntegrate." Wolfram Language & System Documentation Center. Wolfram Research. Last Modified 2025. https://reference.wolfram.com/language/ref/NLineIntegrate.html.
APA
Wolfram Language. (2024). NLineIntegrate. Wolfram Language & System Documentation Center. Retrieved from https://reference.wolfram.com/language/ref/NLineIntegrate.html
BibTeX
@misc{reference.wolfram_2025_nlineintegrate, author="Wolfram Research", title="{NLineIntegrate}", year="2025", howpublished="\url{https://reference.wolfram.com/language/ref/NLineIntegrate.html}", note=[Accessed: 01-April-2026]}
BibLaTeX
@online{reference.wolfram_2025_nlineintegrate, organization={Wolfram Research}, title={NLineIntegrate}, year={2025}, url={https://reference.wolfram.com/language/ref/NLineIntegrate.html}, note=[Accessed: 01-April-2026]}